Jet Pump Nozzle Traduccion
nozze

Jet Pump Nozzle Traduccion

Jet Pump Nozzle Traduccion, Indeed recently has been hunted by consumers around us, perhaps one of you personally. People now are accustomed to using the internet in gadgets to view video and image information for inspiration, and according to the name of this article I will discuss about

If the posting of this site is beneficial to our suport by spreading article posts of this site to social media marketing accounts which you have such as for example Facebook, Instagram and others or can also bookmark this blog page.

Operator S Manual Sears Parts Direct Manualzz Brass Nozzle Tariff Code

Https Www Mightonproducts Com Media Downloads 221 M22 G Instructions Manual Sames Kremlin Pdf Brass Nozzle Tariff Code

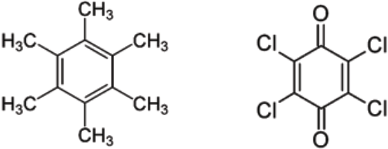
Formation Of Hexamethylbenzene Chloranil Charge Transfer Nanocrystals Brass Nozzle Tariff Code

2 Brass Nozzle Tariff Code

Improved Viability Of Spray Dried Brewer S Yeast By Using Starch Grits And Maltodextrin As Processing Aids Request Pdf Brass Nozzle Tariff Code

Air Atomising Spray Nozzles Spraytech Brass Nozzle Tariff Code

Formation Of Hexamethylbenzene Chloranil Charge Transfer Nanocrystals Brass Nozzle Tariff Code

The Latest And Most Impactful 19552 Pdfs And Publications In Laser Doppler Flowmetry Brass Nozzle Tariff Code

Handleiding Solo 461 Pagina 18 Van 76 Deutsch English Espanol Francais Italiano Nederlands Brass Nozzle Tariff Code

Pdf Quick Gelling Of Soft Soil With Jet Grouting Using Two Binders Brass Nozzle Tariff Code

More From Brass Nozzle Tariff Code