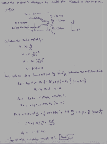
Nozzle Force Equation
nozze

Nozzle Force Equation

Nozzle Force Equation, Indeed recently has been hunted by consumers around us, perhaps one of you personally. People now are accustomed to using the internet in gadgets to view video and image information for inspiration, and according to the name of this article I will discuss about

If the posting of this site is beneficial to our suport by spreading article posts of this site to social media marketing accounts which you have such as for example Facebook, Instagram and others or can also bookmark this blog page.

Http Staff Fit Ac Cy Eng Fm Classes Amee202 Homework 20assignment 20 Momentum 20equation Pdf Nozzle Guide Vanenozzle Diaphragm

14 6 Bernoulli S Equation University Physics Volume 1 Nozzle Guide Vanenozzle Diaphragm

Rocket Thrust Equation Nozzle Guide Vanenozzle Diaphragm

Solved Laminar Flow Of Water Rho 1000kg M 3 V 0 000 Chegg Com Nozzle Guide Vanenozzle Diaphragm

Conservation Of Momentum Using Control Volumes Nozzle Guide Vanenozzle Diaphragm

Https Warwick Ac Uk Study Csde Gsp Eportfolio Directory Crs Essfbz Teaching Fluiddynamics Answ02 D Pdf Nozzle Guide Vanenozzle Diaphragm

Water Rocket Analysis Page 3 Updated 4 18 2013 Nozzle Guide Vanenozzle Diaphragm

Basics Of Space Flight Rocket Propulsion Nozzle Guide Vanenozzle Diaphragm

In 3d Printing Does The Bernouilli Equation Mean That 1 75mm Filament Drive Has Less Force On The Extruder Gear Than 3 0mm Mathematics Stack Exchange Nozzle Guide Vanenozzle Diaphragm

De Laval Nozzle Wikipedia Nozzle Guide Vanenozzle Diaphragm

More From Nozzle Guide Vanenozzle Diaphragm