Venturi Meter Cara Kerja
nozze

Venturi Meter Cara Kerja

Venturi Meter Cara Kerja, Indeed recently has been hunted by consumers around us, perhaps one of you personally. People now are accustomed to using the internet in gadgets to view video and image information for inspiration, and according to the name of this article I will discuss about

If the posting of this site is beneficial to our suport by spreading article posts of this site to social media marketing accounts which you have such as for example Facebook, Instagram and others or can also bookmark this blog page.

Prolog Materi Prinsip Kerja Rumus Venturimeter Tanpa Manometer Zenius Net Nozze Di Figaro Ravenna 2019

Le Principe De Mesure De Debit Dp Diaphragmes Tuyeres Venturi Youtube Nozze Di Figaro Ravenna 2019

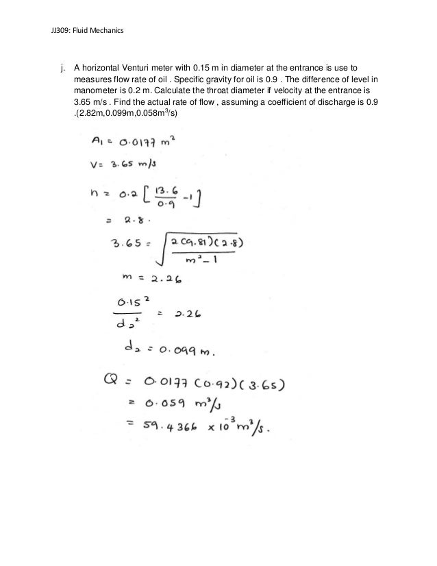
Liza Anna Jj309 Fluid Mechanics Buku Kerja Nozze Di Figaro Ravenna 2019

Fire Pump Test Meter Instructions Flow Meters Indonesia Nozze Di Figaro Ravenna 2019

Http Ekscerita Blogspot Com 2015 11 Laporan Praktikum Asas Bernouli Pada Html Nozze Di Figaro Ravenna 2019

Venturimeter Nozze Di Figaro Ravenna 2019

Https Encrypted Tbn0 Gstatic Com Images Q Tbn 3aand9gcr232qw Rfovupd1yqyw7csezfikpzangfene1ylyk9jjjwj4pl Usqp Cau Nozze Di Figaro Ravenna 2019

Alat Peraga Pembelajaran Sederhana Model Venturimeter Nozze Di Figaro Ravenna 2019

Cara Kerja Alat Ukur Laju Aliran Flow Meter Menggunakan Venturi Meter Artikel Teknologi Indonesia Nozze Di Figaro Ravenna 2019

Makalah Fisika Tabung Venturi Dan Tabung Pitot Pdf Free Download Nozze Di Figaro Ravenna 2019

More From Nozze Di Figaro Ravenna 2019